Lệnh khẩn của Cục Thú y Séc: Cấm lưu hành nhiều loại sữa bột và thực phẩm trẻ em vì độc tố nguy hiểm
Tin nổi bật, Tin Séc, Tin nóng
author23/04/2026 15:54

Cục Quản lý Thú y Nhà nước Cộng hòa Séc (Státní veterinární správa – SVS) ngày 22.4.2026 đã ban hành lệnh áp dụng các biện pháp khẩn cấp sau khi phát hiện nguy cơ nghiêm trọng đối với sức khỏe con người từ một số sản phẩm sữa bột và thực phẩm dành cho trẻ em lưu hành trên thị trường.

Budova-ÚVS-650x427.jpg

Theo thông cáo, các xét nghiệm cho thấy một số sản phẩm có chứa cereulid – một loại độc tố nguy hiểm có nguồn gốc từ vi khuẩn, thường được phát hiện trong các sản phẩm có nguồn gốc động vật. Sự hiện diện của cereulid được cơ quan chức năng đánh giá là mối đe dọa nghiêm trọng đối với sức khỏe cộng đồng.

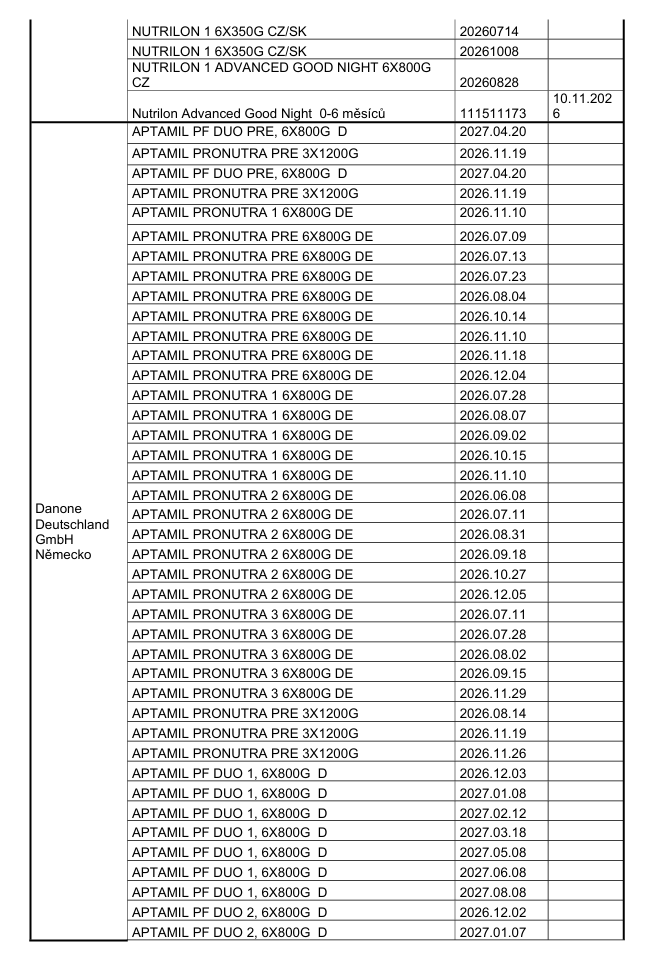
Lệnh của Cục Thú y Séc cấm tất cả các cơ sở, đơn vị kinh doanh thực phẩm trên toàn lãnh thổ Cộng hòa Séc đưa ra thị trường một số loại sữa bột và thực phẩm dành cho trẻ em thuộc các thương hiệu sau:

- Nestlé: Các dòng BEBA (Comfort, Expert Pro, Sensitive, Supreme, Alfamino)  
- Danone / Nutrici: Các dòng Nutrilon (Advanced, AR, Profutura), Aptamil (Pronutra, PF Duo) và Hami  
- Các thương hiệu khác: Bebelo, Babybio Caprea, Happy Mimi  

Danh mục cụ thể các lô hàng và sản phẩm chịu lệnh cấm được công bố chi tiết trên hệ thống thông tin chính thức và Bộ luật điện tử của Cộng hòa Séc.

1.png
2 .png
3.png
4.png

Theo lệnh khẩn, tất cả các đơn vị hiện đang lưu trữ hoặc kinh doanh các sản phẩm nằm trong danh sách bị cấm có nghĩa vụ:

- Ngừng ngay lập tức việc lưu hành và bán các sản phẩm này
- Tiến hành tiêu hủy sản phẩm một cách an toàn, bảo đảm không gây hại đến sức khỏe cộng đồng và môi trường;  
 hoặc
- Trả lại sản phẩm cho nhà sản xuất theo hướng dẫn của cơ quan chức năng hoặc nhà cung cấp.

Các biện pháp này phải được thực hiện khẩn trương, đúng quy định, và có thể chịu sự kiểm tra, giám sát của cơ quan thú y nhà nước.

Cục Quản lý Thú y Nhà nước cảnh báo, việc không tuân thủ các biện pháp thú y khẩn cấp nói trên có thể bị xử phạt hành chính với mức phạt rất nặng:

- Đối với cá nhân: phạt tiền lên tới 100.000 CZK  
- Đối với pháp nhân hoặc cá nhân kinh doanh: phạt tiền lên tới 2.000.000 CZK

Lệnh có hiệu lực ngay tại thời điểm được công bố trong Bộ luật điện tử. Văn bản được ký bởi Giám đốc Trung ương SVS, MVDr. Zbyněk Semerád.

Cereulid là gì và vì sao nguy hiểm?

Theo thông tin từ cơ quan chức năng, cereulid là một độc tố nguy hiểm có thể xuất hiện trong các sản phẩm có nguồn gốc động vật, trong đó có sữa và các chế phẩm từ sữa. Độc tố này có khả năng gây ngộ độc thực phẩm nặng, đặc biệt nguy hiểm đối với trẻ nhỏ và người có sức đề kháng yếu.

Trong tháng 4.2026, cereulid đã được phát hiện trong một số lô sữa bột và thực phẩm dành cho trẻ em lưu thông trên thị trường Cộng hòa Séc, bao gồm các sản phẩm thuộc những thương hiệu quốc tế lớn. Phát hiện này là cơ sở để cơ quan thú y ban hành lệnh thu hồi và cấm lưu hành khẩn cấp.

Biện pháp của cơ quan chức năng bao gồm:

- Cấm tuyệt đối việc tiếp tục đưa các sản phẩm nghi nhiễm cereulid ra thị trường 
- Buộc tiêu hủy an toàn hoặc trả lại nhà sản xuất đối với các sản phẩm nằm trong diện bị ảnh hưởng  

Người tiêu dùng được khuyến cáo theo dõi thông tin chính thức từ cơ quan y tế và thú y, kiểm tra kỹ nhãn mác, lô sản xuất của các sản phẩm sữa bột, thực phẩm dành cho trẻ em đang sử dụng; đồng thời liên hệ với nhà cung cấp hoặc điểm bán hàng nếu nghi ngờ sản phẩm thuộc diện bị thu hồi.

Theo SVS

Chia sẻ:
Có thể bạn cũng thích
Budova-ÚVS-650x427.jpg
Lệnh khẩn của Cục Thú y Séc: Cấm lưu hành nhiều loại sữa bột và thực phẩm trẻ em vì độc tố nguy hiểm
Cục Quản lý Thú y Nhà nước Cộng hòa Séc (Státní veterinární správa – SVS) ngày 22.4.2026 đã ban hành lệnh áp dụng các biện pháp khẩn cấp sau khi phát hiện nguy cơ nghiêm trọng đối với sức khỏe con người từ một số sản phẩm sữa bột và thực phẩm dành cho trẻ em lưu hành trên thị trường.
23-04-2026
download (3).jfif
Séc điều chỉnh mức giá trần xăng dầu cho thứ Sáu: Giá xăng tối đa 41,61 korun, dầu diesel 42,04 korun
Bộ Tài chính Séc đã công bố mức giá trần nhiên liệu cho ngày thứ Sáu. Theo đó, xăng tại Cộng hòa Séc sẽ được phép bán tối đa 41,61 korun/lít, còn dầu diesel là 42,04 korun/lít. So với mức trần của ngày thứ Năm (41,12 korun/lít đối với xăng và 41,16 korun/lít đối với dầu diesel), các mức trần này đều tăng lên.
23-04-2026
download (2).jfif
Người nước ngoài ở Praha: Đóng góp lớn nhưng ít biết đến về quyền lợi của mình
Một phần tư cư dân Praha sinh ra ở bên ngoài Cộng hòa Séc. Trong một thành phố 1,4 triệu dân này, có 354.000 người đến từ nơi khác. Và dù vậy, phần lớn những người này lại không nhận ra họ thực sự có bao nhiêu “đòn bẩy” đối với một thành phố nơi họ đóng thuế, nuôi con và sống cuộc đời của mình.
23-04-2026
download.jfif
Làm gì ở Praha cuối tuần này: Những sự kiện hay nhất từ 24–26/4
Đi dạo dưới những hàng hoa anh đào tại lễ hội Hanami, nhảy cùng Claude VonStroke, và đưa thú cưng của bạn đến rạp chiếu phim trong cuối tuần này.
23-04-2026
download (13).jfif
Cơ quan Séc cấm bán 44 loại sữa công thức cho trẻ sơ sinh do phát hiện độc tố nguy hiểm
Cơ quan Thú y Nhà nước Séc cấm bán tại Cộng hòa Séc 44 loại sữa công thức cho trẻ sơ sinh từ 12 nhà sản xuất khác nhau trong Liên minh châu Âu do phát hiện độc tố nguy hiểm cereulid. Các bác sĩ thú y đã thông báo điều này vào thứ Năm. Các nhà bán lẻ và cơ sở đang có hàng tồn phải tiêu hủy an toàn hoặc trả lại cho nhà sản xuất. Vi phạm lệnh cấm phân phối có thể bị phạt tới 2 triệu korun.
23-04-2026
30eb0ab0-1969-4304-8b69-9b57b91f4ed5.jpg
Hàng trăm người dân Praha được xét nghiệm bệnh gan miễn phí
Theo các bác sĩ, cứ ba người Séc thì có một người mắc bệnh gan. Vấn đề phổ biến nhất là gan nhiễm mỡ. Nguyên nhân được cho là chủ yếu do lối sống không lành mạnh – đặc biệt là ăn quá nhiều chất béo và thiếu vận động. Nhân Ngày Thế giới Gan, vào thứ Tư, người dân tại Praha có thể được khám miễn phí.
23-04-2026
download (11).jfif
1.700 học sinh đối mặt nguy cơ không có suất vào trung học ở Praha
Tình trạng thiếu chỗ trong các trường trung học, đặc biệt là trường chuyên gymnázium, là vấn đề diễn ra trong thời gian dài tại Praha. Trong những tuần này đang diễn ra việc giành chỗ học, cứ trong 8 học sinh thì có một em không có chỗ.
23-04-2026
Screenshot 2026-04-23 134919.png
Kiều bào Séc và Ba Lan tặng vườn rau xanh trị giá 250 triệu đồng cho đảo Trường Sa
Trong tháng 4/2026, đoàn kiều bào từ nhiều quốc gia và vùng lãnh thổ tiếp tục tham gia hành trình “Chuyến tàu Đại đoàn kết” thăm quân và dân huyện đảo Trường Sa, Nhà giàn DK1 trên con tàu hải quân KN 490.
23-04-2026
202604231520289626_z7755505706722_aafbef29fa8d0dcc7a4df7343ef86243.jpg
Quốc hội thông qua Luật sửa đổi, bổ sung một số điều của Luật Cơ quan đại diện nước Cộng hòa xã hội chủ nghĩa Việt Nam ở nước ngoài
Chiều 23/4, tiếp tục chương trình Kỳ họp thứ Nhất, Quốc hội khoá XVI, Quốc hội đã thông qua Luật sửa đổi, bổ sung một số điều của Luật Cơ quan đại diện nước Cộng hòa xã hội chủ nghĩa Việt Nam ở nước ngoài.
23-04-2026
0edc26ee11cbe25da027123e3950a985.jpg
Từ căn hộ Studio đến 2+kk: Khả năng mua nhà của giới trẻ Séc đang cải thiện
Khả năng tiếp cận nhà ở đối với người trẻ Séc tiếp tục tăng. Chỉ số nhà ở đầu tiên của cổng thông tin Reas.cz cho quý 4 năm 2025 cho thấy người mua trong độ tuổi 25–34 với mức lương trung bình hiện có thể tiếp cận 44,3 m², tức nhiều hơn 2,6 m² so với nửa năm trước.
23-04-2026
Tin nổi bật
Lệnh khẩn của Cục Thú y Séc: Cấm lưu hành nhiều loại sữa bột và thực phẩm trẻ em vì độc tố nguy hiểm
Budova-ÚVS-650x427.jpg
Cục Quản lý Thú y Nhà nước Cộng hòa Séc (Státní veterinární správa – SVS) ngày 22.4.2026 đã ban hành lệnh áp dụng các biện pháp khẩn cấp sau khi phát hiện nguy cơ nghiêm trọng đối với sức khỏe con người từ một số sản phẩm sữa bột và thực phẩm dành cho trẻ em lưu hành trên thị trường.
3 giờ trước
Séc điều chỉnh mức giá trần xăng dầu cho thứ Sáu: Giá xăng tối đa 41,61 korun, dầu diesel 42,04 korun
download (3).jfif
Bộ Tài chính Séc đã công bố mức giá trần nhiên liệu cho ngày thứ Sáu. Theo đó, xăng tại Cộng hòa Séc sẽ được phép bán tối đa 41,61 korun/lít, còn dầu diesel là 42,04 korun/lít. So với mức trần của ngày thứ Năm (41,12 korun/lít đối với xăng và 41,16 korun/lít đối với dầu diesel), các mức trần này đều tăng lên.
4 giờ trước
Người nước ngoài ở Praha: Đóng góp lớn nhưng ít biết đến về quyền lợi của mình
download (2).jfif
Một phần tư cư dân Praha sinh ra ở bên ngoài Cộng hòa Séc. Trong một thành phố 1,4 triệu dân này, có 354.000 người đến từ nơi khác. Và dù vậy, phần lớn những người này lại không nhận ra họ thực sự có bao nhiêu “đòn bẩy” đối với một thành phố nơi họ đóng thuế, nuôi con và sống cuộc đời của mình.
5 giờ trước
Làm gì ở Praha cuối tuần này: Những sự kiện hay nhất từ 24–26/4
download.jfif
Đi dạo dưới những hàng hoa anh đào tại lễ hội Hanami, nhảy cùng Claude VonStroke, và đưa thú cưng của bạn đến rạp chiếu phim trong cuối tuần này.
5 giờ trước
Cơ quan Séc cấm bán 44 loại sữa công thức cho trẻ sơ sinh do phát hiện độc tố nguy hiểm
download (13).jfif
Cơ quan Thú y Nhà nước Séc cấm bán tại Cộng hòa Séc 44 loại sữa công thức cho trẻ sơ sinh từ 12 nhà sản xuất khác nhau trong Liên minh châu Âu do phát hiện độc tố nguy hiểm cereulid. Các bác sĩ thú y đã thông báo điều này vào thứ Năm. Các nhà bán lẻ và cơ sở đang có hàng tồn phải tiêu hủy an toàn hoặc trả lại cho nhà sản xuất. Vi phạm lệnh cấm phân phối có thể bị phạt tới 2 triệu korun.
5 giờ trước
Hàng trăm người dân Praha được xét nghiệm bệnh gan miễn phí
30eb0ab0-1969-4304-8b69-9b57b91f4ed5.jpg
Theo các bác sĩ, cứ ba người Séc thì có một người mắc bệnh gan. Vấn đề phổ biến nhất là gan nhiễm mỡ. Nguyên nhân được cho là chủ yếu do lối sống không lành mạnh – đặc biệt là ăn quá nhiều chất béo và thiếu vận động. Nhân Ngày Thế giới Gan, vào thứ Tư, người dân tại Praha có thể được khám miễn phí.
6 giờ trước
1.700 học sinh đối mặt nguy cơ không có suất vào trung học ở Praha
download (11).jfif
Tình trạng thiếu chỗ trong các trường trung học, đặc biệt là trường chuyên gymnázium, là vấn đề diễn ra trong thời gian dài tại Praha. Trong những tuần này đang diễn ra việc giành chỗ học, cứ trong 8 học sinh thì có một em không có chỗ.
6 giờ trước
Kiều bào Séc và Ba Lan tặng vườn rau xanh trị giá 250 triệu đồng cho đảo Trường Sa
Screenshot 2026-04-23 134919.png
Trong tháng 4/2026, đoàn kiều bào từ nhiều quốc gia và vùng lãnh thổ tiếp tục tham gia hành trình “Chuyến tàu Đại đoàn kết” thăm quân và dân huyện đảo Trường Sa, Nhà giàn DK1 trên con tàu hải quân KN 490.
7 giờ trước
Quốc hội thông qua Luật sửa đổi, bổ sung một số điều của Luật Cơ quan đại diện nước Cộng hòa xã hội chủ nghĩa Việt Nam ở nước ngoài
202604231520289626_z7755505706722_aafbef29fa8d0dcc7a4df7343ef86243.jpg
Chiều 23/4, tiếp tục chương trình Kỳ họp thứ Nhất, Quốc hội khoá XVI, Quốc hội đã thông qua Luật sửa đổi, bổ sung một số điều của Luật Cơ quan đại diện nước Cộng hòa xã hội chủ nghĩa Việt Nam ở nước ngoài.
8 giờ trước
Từ căn hộ Studio đến 2+kk: Khả năng mua nhà của giới trẻ Séc đang cải thiện
0edc26ee11cbe25da027123e3950a985.jpg
Khả năng tiếp cận nhà ở đối với người trẻ Séc tiếp tục tăng. Chỉ số nhà ở đầu tiên của cổng thông tin Reas.cz cho quý 4 năm 2025 cho thấy người mua trong độ tuổi 25–34 với mức lương trung bình hiện có thể tiếp cận 44,3 m², tức nhiều hơn 2,6 m² so với nửa năm trước.
9 giờ trước
® 2020-2026 TAMDA MEDIA z.s. Cấm sao chép dưới mọi hình thức nếu không có sự chấp thuận bằng văn bản.
Ghi rõ nguồn TAMDAMEDIA.eu khi phát hành lại thông tin từ website này
pencil